Butelka miedziana 1L OUTLET Yuva - RÓŻNE MODELE

Dostępność: duża ilość
Wysyłka w: 24 godziny
Dostawa: Cena nie zawiera ewentualnych kosztów płatności sprawdź formy dostawy
Cena: 69,00 zł

Cena regularna:

69.00
Cena w innych sklepach: 139,00 zł
ilość szt.
Zyskujesz 3 pkt [?]

towar niedostępny

Opis

Wszystkie nasze butelki przechodzą selekcję przed wysyłką. Produkt kategorii OUTLET może posiadać na zewnątrz lub w środku przebarwienia, utlenienia, zarysowania, zabrudzenia lub wgniecenia. Jest jednak nowy, w pełni funkcjonalny i wciąż perfekcyjnie spełnia swoją rolę. Wymaga umycia przed użyciem.

 

Butelka miedziana o pojemności około 1L

Dlaczego przed spożyciem warto przetrzymywać wodę w miedzianych naczyniach?

1. Po około 5h oczyszczają wodę z bakterii i grzybów. Dzięki właściwościom antyseptycznym idealnie sprawdzi się nawet do dłuższego przetrzymywania wody np. w czasie podróży.

2. Po około 16h woda staje się nasycona jonami miedzi, co niesie za sobą wyraźne zdrowotne korzyści. Miedź przede wszystkim:

  • Poprawia odporność i działa przeciwzapalnie
  • Uczestniczy w transporcie tlenu w organizmie- także do tkanki nerwowej
  • Ułatwia wchłanianie żelaza i transportowanie
  • Wspomaga pracę mózgu
  • Chroni przed wolnymi rodnikami
  • Poprzez udział w syntezie kolagenu, elastyny i innych białek spowalnia starzenie skóry.

Dlaczego warto wybrać naszą butelkę?

  1. CZYSTA MIEDŹ (99,7% Cu i 0,3% Zn - taki dodatek cynku konieczny jest aby zapewnić trwałość i funkcjonalność miedzianych naczyń)
  2. Oryginalny design - nowoczesny a jednocześnie  ozdobny wzór, który spodoba się zarówno osobom młodszym jak i starszym, lubiącym blask jak i styl rustykalny
  3. Uszczelka - dzięki niej mamy pewność, że woda nie będzie się wylewać
  4. Optymalny rozmiar - pozwala na uzupełnienie dużą ilością wody (1L) a przy tym na wygodne picie. Mieści się w samochodowych uchwytach a kubek.
  5. Produkt robiony ręcznie - Każdy jest odrobinę inny i każdy równie piękny.
  6. Dobry pomysł na prezent - dobre nawodnienie ważne jest dla każdego. Dlaczego by nie podarować przy okazji trochę zdrowia?
  7. Dodatkowa zapasowa uszczelka
  8. Dno zabezpieczone filcem technicznym

 

Czyszczenie naczyń miedzianych powinno odbywać się wyłącznie z zastosowaniem naturalnych środków. Wystarczy cytryna, sól i ściereczka. Dokładną instrukcję utrzymania butelki w dobrej kondycji dołączamy do zamówienia. Nasze butelki robione są ręcznie w Indiach. Mogą posiadać niewielkie ryski lub przebarwienia, co jest naturalne i dopuszczalne w naczyniach z miedzi o którą warto dbać regularnie aby cały czas cieszyła pięknym wyglądem.

 Do wyboru butelka: gładka, diamond, młotkowana, fala, hantel, honeycomb, kwiatowa - prosimy o informację w wiadomości prywatnej. W przypadku braku wiadomości wyślemy losowo wybraną butelkę.

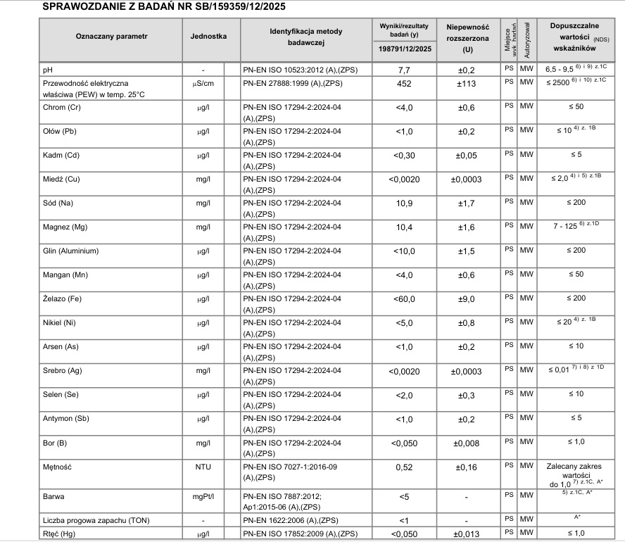
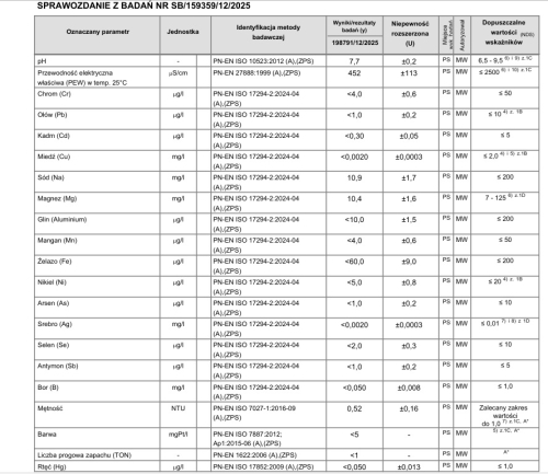
 Dbamy o jakość naszych produktów. Nasze butelki również w Polsce przeszły badania migracji pierwiastków do wody po 24h od napełniania. Ich wyniki widoczne są na dwóch ostatnich zdjęciach w galerii. Pierwsze zdjęcie to wartości wody z kranu a drugie po upływie doby w butelce. Obserwujemy większe nasycenie wody miedzią. Warto zwrócić również uwagę na fakt, że ołów, glin, nikiel i rtęć pozostają niewykrywalne.

Pliki do pobrania:

Bezpieczeństwo

Pliki do pobrania:

Koszty dostawy Cena nie zawiera ewentualnych kosztów płatności

Kraj wysyłki:

Produkty powiązane

Opinie o produkcie (1)

1 lutego 2026

Warto! Trochę obawiałam się przed zakupem tej kategorii butelki ale zdecydowałam się ze względu na oszczędność. To nie jest moją pierwsza miedziana butelka. Mam też z innych firm. Tutaj widać że selekcja działa i ktoś je przebiera. Butelka outlet ma parę rysek i miała niewielkie w sumie zabrudzenie. Przed użyciem i tak nie wyobrażam sobie nie umyć jakiejkolwiek butelki, kubka czy miedzianego czy szklanego. W sumie przyszła w takim mniej więcej stanie jak od innego sprzedawcy w normalnej cenie w tamtym sklepie. Polecam

do góry
Sklep jest w trybie podglądu
Pokaż pełną wersję strony
Sklep internetowy Shoper.pl